The ability of a servo motor to perform the required moves within short times is limited by the temperature rise that results from the power dissipation. It follows, then, that the optimal design of a servo motor control system, which maximizes the system throughput, is the one that results in minimum servo motor temperature.
This post addresses the optimal design of a servo motor control system. It assumes a required motion of given length, and seeks the design that accomplishes the required move within a specified time, while minimizing the servo motor temperature.
The analysis addresses three areas that affect the servo motor temperature. These include:
a. Servo motor velocity profile
b. Coupling ratio between the servo motor and the load
c. Best servo motor selection
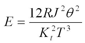
In searching for the best velocity profile, it was found that a parabolic profile is optimal, as it results in minimum power dissipation. Specifically, it was found that a rotary move of θ radians, performed in T seconds, results in an energy dissipation of E Joules in the servo motor.



Where:
R – Armature resistance of servo motor
J – Total moment of inertia of the servo motor and the load
Kt – Torque constant of servo motor
When a parabolic profile is not possible, a trapezoidal profile can be used. It was found that the best trapezoidal velocity profile is the one where all three time intervals of acceleration, slew and deceleration are equal. In that case, the resulting dissipation is 12% larger than in the optimal case.
The second area of optimization is the coupling between the servo motor and the load. When it is possible to select the relative ratio between the speeds of the servo motor and the load, it is found that the best coupling ratio is one were the reflected load inertia equals the inertia of the servo motor. This is known as inertial match.
The final area of optimization is the selection of the servo motors. It was found that if the servo motor is to be coupled to the load under inertial match ratio, then the best motor is one where the following quantity is a minimum.
Where:
R – Armature resistance of servo motor
Jm – Moment of inertia of servo motor
Rth – Thermal resistance of servo motor
Kt – Torque constant of servo motor
Additional information and equations can be found in Galil’s on-line, audio/visual tutorial titled “Optimal Design of Motion Control Systems”